Popular Now
Boostez votre contenu : Les meilleurs outils création contenu que vous devez connaître !

Boostez votre contenu : Les meilleurs outils création contenu que vous devez connaître !

Révolutionne ta Création de Contenu IA : Découvre Google Opal, l'Outil No-Code Ultime !

Révolutionne ta Création de Contenu IA : Découvre Google Opal, l’Outil No-Code Ultime !

Top 10 : Les Meilleurs Outils IA Indispensables pour Booster ta Productivité !

Top 10 : Les Meilleurs Outils IA Indispensables pour Booster ta Productivité !

DeepSeek

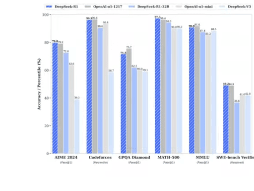
DeepSeek R1: The Open-Source AI Model That's Taking on OpenAI!

DeepSeek R1: The Open-Source AI Model That’s Taking on OpenAI!